Integrate Int Tan 1 2x 1 X 2 Dx
Tan2x formula are tan2x = 2tan x / (1−tan^2x) and tan2x = sin 2x/cos 2x Learn Practice Download Tan2x Formula Tan2x is an important trigonometric function Tan2x formula is one of the very commonly used double angle trigonometric formulas and can be expressed in terms of different trigonometric functions such as tan x, cos x, and sin xTan 2x is a doubleangle formula for trigonometric functions that specifies the value of the tangent function with a composite angle of 2x On the other hand, tan 2 x is the entire square of the trigonometric function tan x The value of tan 2x can be both positive and negative, but the value of tan 2 x is always positive because the square of the number can never be negative
Tan^-1(2x/1-x^2) formula
Tan^-1(2x/1-x^2) formula-Hint the formula tan(2x) = 1−tan2x2tanx is not valid for x = 90°k180° and for tanx = ±1 so you have to test these values in the given equation The equation 3tan3x −tanx = 0 factors as tanx(3tan2 x−1) = 0 (you forgot the 3 ) Hence, tanx = 0 or tanx = ± 31Free tangent line calculator find the equation of the tangent line given a point or the intercept stepbystep Upgrade to Pro Continue to site This website uses cookies to
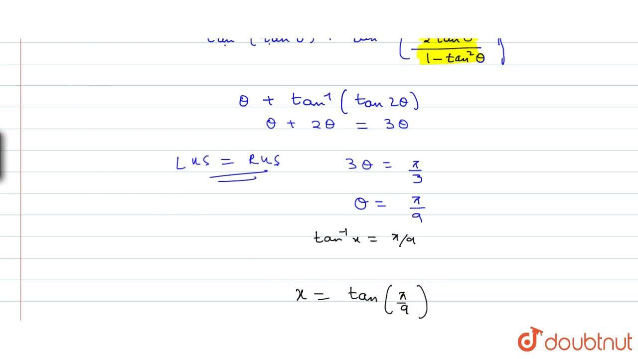
Given That Tan 1 2x 1 X 2 2 Tan 1 X X Le 1 Pi 2 Tan 1 X X Gt 1 Pi 2 Tan 1 X X Lt 1 Sin 1 2x 1 X 2 2 Tan 1 X X Le1 Pi 2 Tan 1 X X Gt 1 And Pi 2tan 1 X Lt 1 Sin 1
tanx tan^3x 2 tanx = 1 tan^2x simplify tan^3x tan^2x 3tanx 1 = 0 let tan x = u and we have u^3 u^2 3u 1 = 0 And the solutions to this equation are u ≈ → tan1() = u = about ° n(180)° u ≈ → tan1 () = u = about 1728° n(180)° u ≈ → tan1 () = u = aboutSolve the Following Equation For X Tan−1(X 2) Tan−1(X − 2) = Tan−1 `(8/79)`, X > 0 CBSE CBSE (Commerce) Class 12 Question Papers 1799 (x2)))=tan^1 8/79` ⇒ `(2x)/(1x^24)=8/79` ⇒ `x/(5x^2)=4/79` ⇒ `79x=4x^2` ⇒ `4x^279x=0` ⇒ `4x^280xx=0` ⇒ `(4x1)(x)=0` ⇒ `x=1/4 or ` ∴ `x=1/4` `becausex>0`Solve your math problems using our free math solver with stepbystep solutions Our math solver supports basic math, prealgebra, algebra, trigonometry, calculus and more
Calculus Solve for x tan (2x)=1 tan (2x) = 1 tan ( 2 x) = 1 Take the inverse tangent of both sides of the equation to extract x x from inside the tangent 2x = arctan(1) 2 x = arctan ( 1) Simplify the right side Tap for more steps 2x = π 4 2 x = π 4 Divide each term in1 Inform you about time table of exam 2 Inform you about new question papers 3 New video tutorials informationSolve the trigonometric equation tan (2x)=1 The angles where the function \tan\left (2x\right) is 1 are Solve the equation (1) Divide both sides of the equation by 2 Expand the fraction \frac {n} {2} into 2 simpler fractions with common denominator 2 Final Answer
Tan^-1(2x/1-x^2) formulaのギャラリー
各画像をクリックすると、ダウンロードまたは拡大表示できます
![]() Integral Of Arctan Examples Integration Of Tan Inverse X | ![]() Integral Of Arctan Examples Integration Of Tan Inverse X | ![]() Integral Of Arctan Examples Integration Of Tan Inverse X |
![]() Integral Of Arctan Examples Integration Of Tan Inverse X | Integral Of Arctan Examples Integration Of Tan Inverse X | ![]() Integral Of Arctan Examples Integration Of Tan Inverse X |
![]() Integral Of Arctan Examples Integration Of Tan Inverse X | ![]() Integral Of Arctan Examples Integration Of Tan Inverse X | Integral Of Arctan Examples Integration Of Tan Inverse X |
「Tan^-1(2x/1-x^2) formula」の画像ギャラリー、詳細は各画像をクリックしてください。
Integral Of Arctan Examples Integration Of Tan Inverse X | ![]() Integral Of Arctan Examples Integration Of Tan Inverse X | ![]() Integral Of Arctan Examples Integration Of Tan Inverse X |
![]() Integral Of Arctan Examples Integration Of Tan Inverse X | ![]() Integral Of Arctan Examples Integration Of Tan Inverse X | ![]() Integral Of Arctan Examples Integration Of Tan Inverse X |
Integral Of Arctan Examples Integration Of Tan Inverse X | ![]() Integral Of Arctan Examples Integration Of Tan Inverse X | Integral Of Arctan Examples Integration Of Tan Inverse X |
「Tan^-1(2x/1-x^2) formula」の画像ギャラリー、詳細は各画像をクリックしてください。
Integral Of Arctan Examples Integration Of Tan Inverse X | Integral Of Arctan Examples Integration Of Tan Inverse X | Integral Of Arctan Examples Integration Of Tan Inverse X |
![]() Integral Of Arctan Examples Integration Of Tan Inverse X | ![]() Integral Of Arctan Examples Integration Of Tan Inverse X | ![]() Integral Of Arctan Examples Integration Of Tan Inverse X |
![]() Integral Of Arctan Examples Integration Of Tan Inverse X | ![]() Integral Of Arctan Examples Integration Of Tan Inverse X | ![]() Integral Of Arctan Examples Integration Of Tan Inverse X |
「Tan^-1(2x/1-x^2) formula」の画像ギャラリー、詳細は各画像をクリックしてください。
![]() Integral Of Arctan Examples Integration Of Tan Inverse X | ![]() Integral Of Arctan Examples Integration Of Tan Inverse X | Integral Of Arctan Examples Integration Of Tan Inverse X |
![]() Integral Of Arctan Examples Integration Of Tan Inverse X | Integral Of Arctan Examples Integration Of Tan Inverse X | ![]() Integral Of Arctan Examples Integration Of Tan Inverse X |
![]() Integral Of Arctan Examples Integration Of Tan Inverse X | ![]() Integral Of Arctan Examples Integration Of Tan Inverse X | ![]() Integral Of Arctan Examples Integration Of Tan Inverse X |
「Tan^-1(2x/1-x^2) formula」の画像ギャラリー、詳細は各画像をクリックしてください。
Integral Of Arctan Examples Integration Of Tan Inverse X | ![]() Integral Of Arctan Examples Integration Of Tan Inverse X | Integral Of Arctan Examples Integration Of Tan Inverse X |
Integral Of Arctan Examples Integration Of Tan Inverse X | ![]() Integral Of Arctan Examples Integration Of Tan Inverse X | ![]() Integral Of Arctan Examples Integration Of Tan Inverse X |
Integral Of Arctan Examples Integration Of Tan Inverse X | ![]() Integral Of Arctan Examples Integration Of Tan Inverse X | ![]() Integral Of Arctan Examples Integration Of Tan Inverse X |
「Tan^-1(2x/1-x^2) formula」の画像ギャラリー、詳細は各画像をクリックしてください。
![]() Integral Of Arctan Examples Integration Of Tan Inverse X | ![]() Integral Of Arctan Examples Integration Of Tan Inverse X | Integral Of Arctan Examples Integration Of Tan Inverse X |
Integral Of Arctan Examples Integration Of Tan Inverse X | ![]() Integral Of Arctan Examples Integration Of Tan Inverse X | ![]() Integral Of Arctan Examples Integration Of Tan Inverse X |
Integral Of Arctan Examples Integration Of Tan Inverse X | ![]() Integral Of Arctan Examples Integration Of Tan Inverse X | ![]() Integral Of Arctan Examples Integration Of Tan Inverse X |
「Tan^-1(2x/1-x^2) formula」の画像ギャラリー、詳細は各画像をクリックしてください。
![]() Integral Of Arctan Examples Integration Of Tan Inverse X | Integral Of Arctan Examples Integration Of Tan Inverse X | Integral Of Arctan Examples Integration Of Tan Inverse X |
![]() Integral Of Arctan Examples Integration Of Tan Inverse X | ![]() Integral Of Arctan Examples Integration Of Tan Inverse X | ![]() Integral Of Arctan Examples Integration Of Tan Inverse X |
![]() Integral Of Arctan Examples Integration Of Tan Inverse X | ![]() Integral Of Arctan Examples Integration Of Tan Inverse X | ![]() Integral Of Arctan Examples Integration Of Tan Inverse X |
「Tan^-1(2x/1-x^2) formula」の画像ギャラリー、詳細は各画像をクリックしてください。
Integral Of Arctan Examples Integration Of Tan Inverse X | ![]() Integral Of Arctan Examples Integration Of Tan Inverse X | Integral Of Arctan Examples Integration Of Tan Inverse X |
![]() Integral Of Arctan Examples Integration Of Tan Inverse X | ![]() Integral Of Arctan Examples Integration Of Tan Inverse X | ![]() Integral Of Arctan Examples Integration Of Tan Inverse X |
Integral Of Arctan Examples Integration Of Tan Inverse X | ![]() Integral Of Arctan Examples Integration Of Tan Inverse X | ![]() Integral Of Arctan Examples Integration Of Tan Inverse X |
「Tan^-1(2x/1-x^2) formula」の画像ギャラリー、詳細は各画像をクリックしてください。
![]() Integral Of Arctan Examples Integration Of Tan Inverse X | ![]() Integral Of Arctan Examples Integration Of Tan Inverse X | ![]() Integral Of Arctan Examples Integration Of Tan Inverse X |
Integral Of Arctan Examples Integration Of Tan Inverse X | ![]() Integral Of Arctan Examples Integration Of Tan Inverse X | ![]() Integral Of Arctan Examples Integration Of Tan Inverse X |
![]() Integral Of Arctan Examples Integration Of Tan Inverse X | ![]() Integral Of Arctan Examples Integration Of Tan Inverse X | ![]() Integral Of Arctan Examples Integration Of Tan Inverse X |
「Tan^-1(2x/1-x^2) formula」の画像ギャラリー、詳細は各画像をクリックしてください。
![]() Integral Of Arctan Examples Integration Of Tan Inverse X | ![]() Integral Of Arctan Examples Integration Of Tan Inverse X | Integral Of Arctan Examples Integration Of Tan Inverse X |
![]() Integral Of Arctan Examples Integration Of Tan Inverse X | ![]() Integral Of Arctan Examples Integration Of Tan Inverse X | ![]() Integral Of Arctan Examples Integration Of Tan Inverse X |
Integral Of Arctan Examples Integration Of Tan Inverse X | ![]() Integral Of Arctan Examples Integration Of Tan Inverse X | ![]() Integral Of Arctan Examples Integration Of Tan Inverse X |
「Tan^-1(2x/1-x^2) formula」の画像ギャラリー、詳細は各画像をクリックしてください。
![]() Integral Of Arctan Examples Integration Of Tan Inverse X | ![]() Integral Of Arctan Examples Integration Of Tan Inverse X | ![]() Integral Of Arctan Examples Integration Of Tan Inverse X |
![]() Integral Of Arctan Examples Integration Of Tan Inverse X | Integral Of Arctan Examples Integration Of Tan Inverse X | Integral Of Arctan Examples Integration Of Tan Inverse X |
![]() Integral Of Arctan Examples Integration Of Tan Inverse X | Integral Of Arctan Examples Integration Of Tan Inverse X | Integral Of Arctan Examples Integration Of Tan Inverse X |
「Tan^-1(2x/1-x^2) formula」の画像ギャラリー、詳細は各画像をクリックしてください。
Integral Of Arctan Examples Integration Of Tan Inverse X | Integral Of Arctan Examples Integration Of Tan Inverse X | ![]() Integral Of Arctan Examples Integration Of Tan Inverse X |
Integral Of Arctan Examples Integration Of Tan Inverse X | ![]() Integral Of Arctan Examples Integration Of Tan Inverse X |
Test Series & AnalysisAnswer (1 of 6) (tan x)×(tan 2x) = 1 or tan x = 1/(tan 2x) =cot 2x or tan x = tan (pi/2 2x) or x = npi (pi/2–2x) or x2x= (n1/2)pi or 3x = (2n1)pi/2
Incoming Term: tan^-1(2x/1-x^2) formula,










































































0 件のコメント:
コメントを投稿